在线咨询
联系我们:
400-670-6580
搜索
首页
产品中心
工业软管
生物制药
硬管液压
塑料软管
工业皮带
密封系统
工业接头
流体配套
* 确保为客户持续提供高品质的产品及服务
解决方案
工业软管
硬管液压
皮带传动
乳品输送
酒类输送
化工行业
* 确保为客户持续提供高品质的产品及服务
技术支持
软管应用
产品介绍
使用指南
认证规范
接头种类
流体周边
* 确保为客户持续提供高品质的产品及服务
公司动态
公司新闻
行业新闻
展会活动
* 确保为客户持续提供高品质的产品及服务
关于我们
公司简介
联系我们
发展历程
招聘
* 确保为客户持续提供高品质的产品及服务
在线咨询
联系我们
首页
产品中心
工业皮带
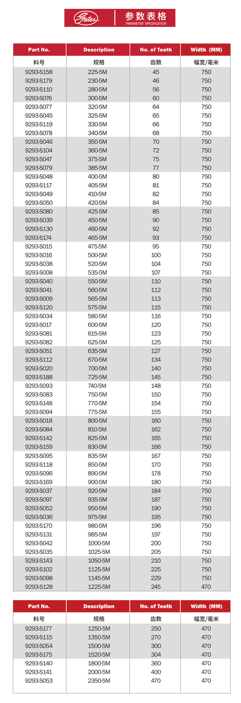
圆弧齿同步带 PowerGrip HTD 橡胶传动带 工业皮带 280--5M
您的浏览器不支持 HTML 5 Video 标签,请升级浏览器。
圆弧齿同步带 PowerGrip HTD 橡胶传动带 工业皮带 280--5M
圆弧齿同步带 PowerGrip HTD 橡胶传动带 工业皮带 280--5M
圆弧齿同步带 PowerGrip HTD
应用
PowerGrip HTD 皮带可适用于很多行业,包括数据存储设备、电动工具、邮政设备、食品加工、办公设备、离心机、点钞机、医疗设备、缝纫机、自动售票机、机器人、自动售货机和吸尘器等。
材质
橡胶
特性
玻璃纤维线绳提供了高强度,出众的柔韧性以及高抗拉伸性。
氯丁橡胶可以保护其不受污垢、油脂、潮湿环境的影响。
尼龙齿面使其具有超长的服务寿命。
相比梯型齿同步带,驱动功率速提高了约30%。
免润滑和无需二次张紧能够降低在驱动系统的维护成本和人工费用。
相关产品
立即询价
请留下您的联系方式,立即获取个性化的方案及报价
留言标题
✱
留言需求
✱
联 系 人
✱
公司名称
✱
电 话
✱
验 证 码
立即提交